How do you calculate Z Alpha 2?
You should see “invNorm(” on your calculator screen. Type in 0.005, add a right parenthesis and press the “ENTER” key. The result, rounded to three decimal places, is the opposite of Zα/2. Consequently, Zα/2 = 2.576 for 99% confidence.
What does ZΑ 2 mean?
Whenever you come across the term zα/2 in statistics, it is simply referring to the z critical value from the z table that corresponds to α/2.
How do you use az table?
To find the probability that Z is between two values, use the Z-table to find the probabilities corresponding to each z-value, and then find the difference between the probabilities. Here, you want the probability that Z is between –0.5 and 1.0.
What is the z value for 95%?
The critical z-score values when using a 95 percent confidence level are -1.96 and +1.96 standard deviations.
What is α 2 in statistics?
Alpha levels are related to confidence levels: to find alpha, just subtract the confidence interval from 100%. for example, the alpha level for a 90% confidence level is 100% – 90% = 10%. To find alpha/2, divide the alpha level by 2. For example, if you have a 10% alpha level then alpha/2 is 5%.
How do you calculate alpha value?
To get α subtract your confidence level from 1. For example, if you want to be 95 percent confident that your analysis is correct, the alpha level would be 1 – . 95 = 5 percent, assuming you had a one tailed test. For two-tailed tests, divide the alpha level by 2.
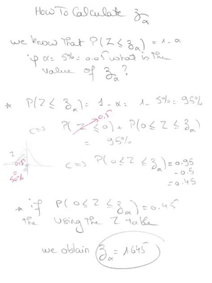
What is the Z critical value when using a 0.05 p value?
For example, in an upper tailed Z test, if α =0.05 then the critical value is Z=1.645.
How do you calculate z?
The formula for calculating a z-score is is z = (x-μ)/σ, where x is the raw score, μ is the population mean, and σ is the population standard deviation. As the formula shows, the z-score is simply the raw score minus the population mean, divided by the population standard deviation.
What does Z-table tell you?
What does the z score table tell you? A z-table, also called the standard normal table, is a mathematical table that allows us to know the percentage of values below (to the left) a z-score in a standard normal distribution (SND).
How do you calculate 95% CI?
For a 95% confidence interval, we use z=1.96, while for a 90% confidence interval, for example, we use z=1.64.
What is z0 99?
Explanation: Z score of a 99 confidence interval is 2.576.
Related Archive
harry potter wizards unite wand guide, latest free online harry potter movies, best HD videos you should watch in 2022 – 2023
harry potter villain test, latest free online harry potter movies, best HD videos you should watch in 2022 – 2023
harry potter uk edition books, latest free online harry potter movies, best HD videos you should watch in 2022 – 2023