How many moles are in CH3CH2OH?
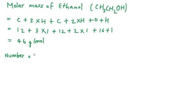
There are 0.065 moles in a 3.00-gram sample of ethanol, CH3 CH2 OH. The molar mass of ethanol with this chemical formula is 46.07 grams. This is
What is CH3CH2OH?
Ethanol, CH3CH2OH, is an alcohol, a group of chemical compounds whose molecules contain a hydroxyl group, 鈥揙H, bonded to a carbon atom. Ethanol is a colorless, flammable, chemical compound. It is found in alcoholic drinks.
How many atoms does CH3CH2OH?
Ethanol (CH3CH2OH) Lewis Structure. Ethanol (CH3CH2OH) contains two carbon atoms, six hydrogen atoms and one oxygen atom. Two carbon atoms have joint with a single bond and oxygen atom has made bonds with carbon and hydrogen atoms. There are two lone pairs on oxygen atom.
What is the molar mass of KCl?
Answer and Explanation: The molar mass of a compound is calculated by multiplying the sum of the relative atomic mass Ar of the constituent atoms by the molar mass constant Mu . Where, Mr is the relative molar mass. Hence the molar mass of KCl is obtained as 74.5513 g mol鈭1 74.5513 g m o l 鈭 1 .
Is CH3OCH3 an alcohol?
The given molecule is named dimethyl ether which contains an ether functional group. The structure of dimethyl ether and the ether group is shown below: So, CH3OCH3 C H 3 O C H 3 does not contain an alcohol functional group.
What is the Iupac name of CH3OCH3?
Dimethyl ether (DME, also known as methoxymethane) is the organic compound with the formula CH3OCH3, simplified to C2H6O.
What does CH3OCH3 look like?
Dimethyl ether is a colorless gas with a faint ethereal odor. It is shipped as a liquefied gas under its vapor pressure. Its vapors are heavier than air.
What is CH3 CH2 Cl?
chloroethane, ethyl chloride. FORMULA: CH3CH2Cl. CAS RN: 75-00-3.
Is ch3ch2oh a hydrocarbon?
Ethanol is a member of the alcohol hydrocarbon derivative family of chemicals. All alcohols are flammable and toxic to some degree. Hydrocarbon derivatives get their name from the fact they are hydrocarbons to start with and have other chemical elements added to create a new chemical that has some economic value.
What is the functional group of ch3ch2oh?
functional group of ch3ch2oh is alcohol.
Related Archive
harry potter trivia show host, latest free online harry potter movies, best HD videos you should watch in 2022 – 2023
harry potter uniform pattern, latest free online harry potter movies, best HD videos you should watch in 2022 – 2023
harry potter vans ebay, latest free online harry potter movies, best HD videos you should watch in 2022 – 2023